近日,化学系赵宏滨教授课题组在化学大类一区期刊《Applied Catalysis B: Environment and Energy》上发表了题目为《High DHA selectivity and low-cost electrode for glycerol oxidation: CuO regulates MnO2 electron density to promote DHA desorption》的文章。环球360管理系统入口为本论文的第一完成单位和通讯单位,理学院化学系21级硕士研究生黄子健为第一作者,理学院赵宏滨和叶代新为共同通讯作者。
甘油是生物柴油制备的废弃物,利用甘油制备得到高价值的化学品备受关注。同时利用甘油电氧化(GOR)取代电解水中析氧反应提升电解效率是一项十分有效的节能途径。
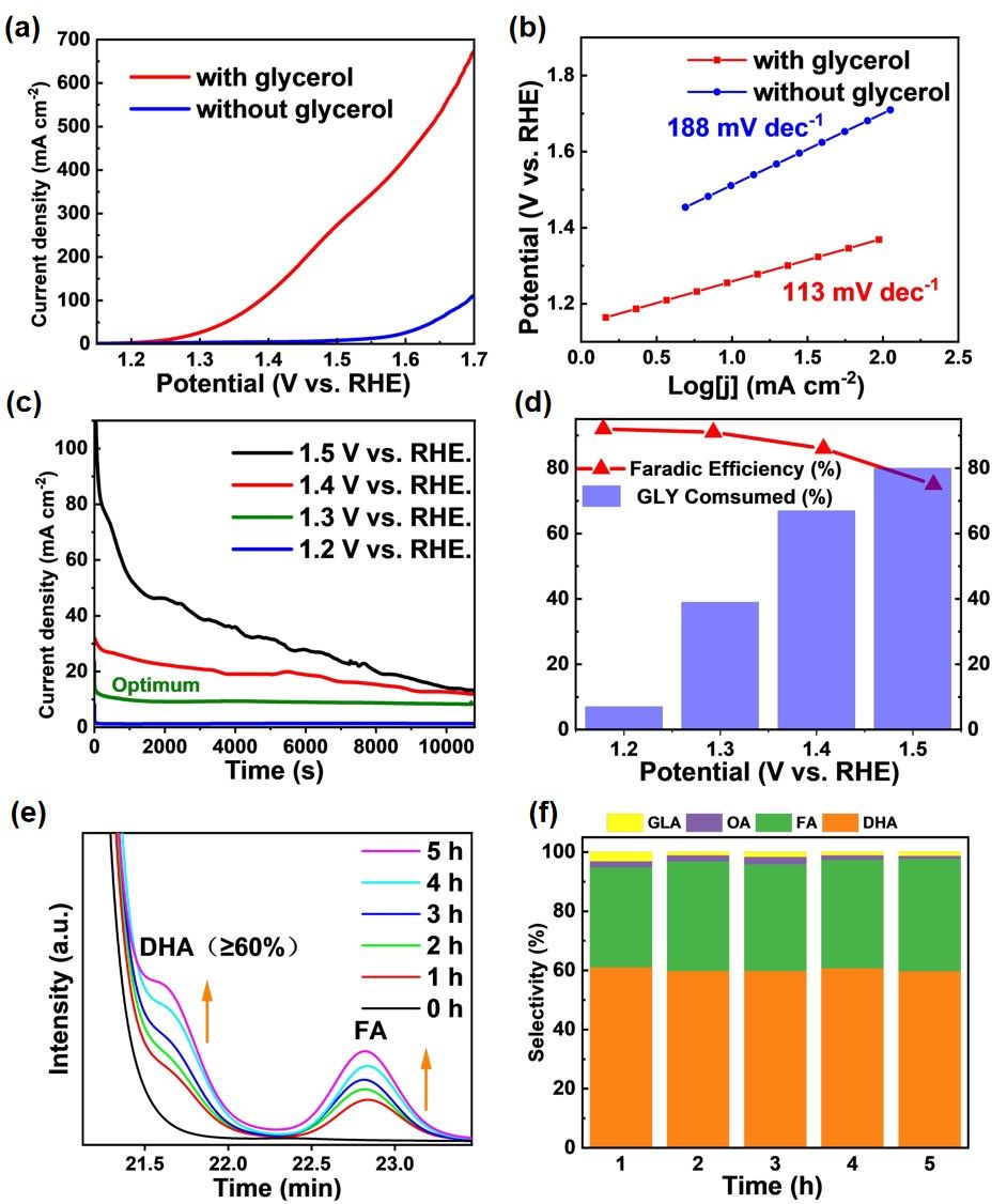
本工作通过水热法构建铜锰自支撑电极(MnO2-CuO/CF),实现了在1.3 V电压下对1,3-二羟基丙酮(DHA)的选择性为60%。通过DFT模拟揭示了氧化铜和二氧化锰之间的协同效应,增强了对甘油的吸附。氧化铜和二氧化锰的重叠构型引起二氧化锰上的电子密度降低,防止了DHA进一步氧化,从而增加了DHA的选择性。通过GOR与水电解制氢相耦合,实现了高附加值有机产品和高纯氢的双重获取,为绿色制氢和高附加值化学品的电化学合成提供了全新的思路。

图1 MnO2-CuO/CF的表征和DFT模拟

图2 MnO2-CuO/CF的电化学性能和在1.3 V下的产物选择性
该工作得到了浙江省重点研发计划(编号:2019C01072)和自然科学基金项目(编号:22002086, 22204096))和广东省燃料电池重点实验室的资助。
全文链接:https://doi.org/10.1016/j.apcatb.2024.123986